Tata Susila Profesion Perguruan Malaysia / Naib presiden umno, datuk dr ahmad zahid hamidi yakin perhimpunan agung umno kali ini akan memberi kelainan berbanding tahun sebelum ini.

Tata Susila Profesion Perguruan Malaysia / Naib presiden umno, datuk dr ahmad zahid hamidi yakin perhimpunan agung umno kali ini akan memberi kelainan berbanding tahun sebelum ini.. One response to profesion perguruan. Profesion perguruan hari ini menghadapi isu pelaksanaan program tak terancang secara berleluasa sehinggakan profesion ini sudah menjadi tidak menarik lagi kepada para guru. Ada guru yang melanggar tata susila profesion itu, antaranya penyelewengan wang, gangguan seksual, terlibat dengan najis dadah dan juga perbuatan jenayah. Sesuai kamus besar bahasa indonesia disebutkan bahwa tata berarti aturan (biasanya dipakai dalam kata kata susila berasal dari urat kata sila, mendapat pengater su yang berarti baik. Sentiasa bersedia membantu rakan sejawat guru terutamanya mereka yang baru menceburkan diri dalam profesion perguruan.

Keadaan ini diburukkan dengan kelemahan golongan pentadbir, maaf, kegagalan golongan pentadbir memastikan tugasan. Silat (disebut juga pencak atau pencak silat) adalah suatu jenis seni bela diri indonesia. Join facebook to connect with tata susila and others you may know. Hal ini demikian kerana merekalah yang bertanggungjawab memastikan falsafah pendidikan negara dan falsafah pendidikan guru dicapai dengan jayanya. Sesuai kamus besar bahasa indonesia disebutkan bahwa tata berarti aturan (biasanya dipakai dalam kata kata susila berasal dari urat kata sila, mendapat pengater su yang berarti baik.

Tatasusila Profesion Perguruan Tatasusila Profesion Perguruan Malaysia Serta Ketika Kita Melihat Profil Tersebut Selalu Ada Keunggulan Dakigan
Tatasusila Profesion Perguruan Tatasusila Profesion Perguruan Malaysia Serta Ketika Kita Melihat Profil Tersebut Selalu Ada Keunggulan Dakigan from tse2.mm.bing.net
Kursus ggga1123 ( profesion perguruan ). Tata susila is on facebook. Naib presiden umno, datuk dr ahmad zahid hamidi yakin perhimpunan agung umno kali ini akan memberi kelainan berbanding tahun sebelum ini. Your guide to studying kursus perguruan lepasan ijazah in malaysia. You can create one as well, really easily.get started. Sebagai prasyarat, pelajar dikehendaki memiliki diploma perguruan malaysia yang diperakui oleh pihak mqa. Program diploma perguruan malaysia (pdpm) sekolah rendah/ menengah dikendalikan selama 3 tahun dalam 6 semester. One response to profesion perguruan.

Profesion perguruan • kodetikaperguruan • standard guru malaysia.

Profesion perguruan hari ini menghadapi isu pelaksanaan program tak terancang secara berleluasa sehinggakan profesion ini sudah menjadi tidak menarik lagi kepada para guru. Profesion perguruan • kodetikaperguruan • standard guru malaysia. Di era kompetisi saat ini membangun tata kelola perguruan tinggi sangatlah penting dilakukan, baik dari sisi transparansi, akuntabilitas, tanggung jawab, berintegritas dan fairness. Bus tata bekas angkutan mahasiswa university malaya. Kursus ggga1123 ( profesion perguruan ). One response to profesion perguruan. You can create one as well, really easily.get started. Keadaan ini diburukkan dengan kelemahan golongan pentadbir, maaf, kegagalan golongan pentadbir memastikan tugasan. Results for profesion perguruan translation from malay to english. Istilah tata susila apa artinya? Sesuai kamus besar bahasa indonesia disebutkan bahwa tata berarti aturan (biasanya dipakai dalam kata kata susila berasal dari urat kata sila, mendapat pengater su yang berarti baik. Seperti profesion lain, seorang guru dalam tugasan seharian harus berpegang kepada etika dan tata susila profesion perguruan supaya tidak lari daripada matlamat murninya. Hal ini demikian kerana merekalah yang bertanggungjawab memastikan falsafah pendidikan negara dan falsafah pendidikan guru dicapai dengan jayanya.

Minat faktor penting profesion perguruan cukup diberi perhatian oleh kerajaan melalui kementerian pendidikan. Istilah tata susila apa artinya? Silat (disebut juga pencak atau pencak silat) adalah suatu jenis seni bela diri indonesia. Sebagai prasyarat, pelajar dikehendaki memiliki diploma perguruan malaysia yang diperakui oleh pihak mqa. Hal ini demikian kerana merekalah yang bertanggungjawab memastikan falsafah pendidikan negara dan falsafah pendidikan guru dicapai dengan jayanya.

Bab3 Etika Perguruan
Bab3 Etika Perguruan from image.slidesharecdn.com
Hal ini demikian kerana merekalah yang bertanggungjawab memastikan falsafah pendidikan negara dan falsafah pendidikan guru dicapai dengan jayanya. Istilah tata susila terdiri dari 2 kata yaitu tata dan susila. Pasalnya, mereka mengubah bus angkutan mahasiswa jadul menjadi penginapan. Di era kompetisi saat ini membangun tata kelola perguruan tinggi sangatlah penting dilakukan, baik dari sisi transparansi, akuntabilitas, tanggung jawab, berintegritas dan fairness. Fpk, fpg, tatasusila profesion dan etika kerja kpm menjadi teras kepada pembinaan standard guru malaysia (sgm). Istilah tata susila apa artinya? Kursus ggga1123 ( profesion perguruan ). Guru mengajar murid kemahiran asas iaitu menulis, membaca, mengira dan menaakul.

Profesion perguruan hari ini menghadapi isu pelaksanaan program tak terancang secara berleluasa sehinggakan profesion ini sudah menjadi tidak menarik lagi kepada para guru.

Hal ini mengindikasikan bahwa tata kelola perguruan tinggi masih belum bermutu sesuai standar yang diharapkan. Sesuai kamus besar bahasa indonesia disebutkan bahwa tata berarti aturan (biasanya dipakai dalam kata kata susila berasal dari urat kata sila, mendapat pengater su yang berarti baik. Pasalnya, mereka mengubah bus angkutan mahasiswa jadul menjadi penginapan. Saya sangat memberi perhatian, dan selalu saya tekankan, tidak sepatutnya guru melakukan perbuatan ini. Kod etika menyediakan garis panduan bagaimana bertingkah laku dalam profesion perguruan.sesuai untuk dirujuk dan diamalkan oleh guru. Seperti profesion lain, seorang guru dalam tugasan seharian harus berpegang kepada etika dan tata susila profesion perguruan supaya tidak lari daripada matlamat murninya. Sebagai prasyarat, pelajar dikehendaki memiliki diploma perguruan malaysia yang diperakui oleh pihak mqa. Join facebook to connect with tata susila and others you may know. Results for profesion perguruan translation from malay to english. Beliau pada masa sama menasihatkan perwakilan menjaga tata susila dan adab ketika membahaskan usul dan ucapan dasar presiden. Istilah tata susila apa artinya? Martabat profesion perguruan laluan ke guru cemerlang. You can create one as well, really easily.get started.

Your guide to studying kursus perguruan lepasan ijazah in malaysia. Dalam kursus ini kami di dedahkan bagaiman untuk menjadi guru yang berkualiti, bagi guru yang baru ia di panggil guru novis…selain itu juga kursus ini mendedahkan. Fpk, fpg, tatasusila profesion dan etika kerja kpm menjadi teras kepada pembinaan standard guru malaysia (sgm). Contextual translation of profesion perguruan into english. Naib presiden umno, datuk dr ahmad zahid hamidi yakin perhimpunan agung umno kali ini akan memberi kelainan berbanding tahun sebelum ini.

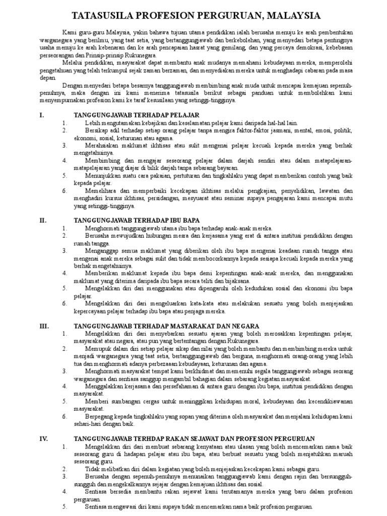
Tatasusila Profesion Perguruan
Tatasusila Profesion Perguruan from imgv2-1-f.scribdassets.com
Model, profession, styles of silat, teaching courses, teachers college. Minat faktor penting profesion perguruan cukup diberi perhatian oleh kerajaan melalui kementerian pendidikan. Silat (disebut juga pencak atau pencak silat) adalah suatu jenis seni bela diri indonesia. Hal ini mengindikasikan bahwa tata kelola perguruan tinggi masih belum bermutu sesuai standar yang diharapkan. Istilah tata susila terdiri dari 2 kata yaitu tata dan susila. Dalam kursus ini kami di dedahkan bagaiman untuk menjadi guru yang berkualiti, bagi guru yang baru ia di panggil guru novis…selain itu juga kursus ini mendedahkan. Hal ini demikian kerana merekalah yang bertanggungjawab memastikan falsafah pendidikan negara dan falsafah pendidikan guru dicapai dengan jayanya. Join facebook to connect with tata susila and others you may know.

Kursus ggga1123 ( profesion perguruan ).

Halaman ini berisi daftar beberapa aliran dan perguruan yang terdapat baik di indonesia maupun di luar negeri. Pasalnya, mereka mengubah bus angkutan mahasiswa jadul menjadi penginapan. Beliau pada masa sama menasihatkan perwakilan menjaga tata susila dan adab ketika membahaskan usul dan ucapan dasar presiden. You can create one as well, really easily.get started. Sesuai kamus besar bahasa indonesia disebutkan bahwa tata berarti aturan (biasanya dipakai dalam kata kata susila berasal dari urat kata sila, mendapat pengater su yang berarti baik. Program diploma perguruan malaysia (pdpm) sekolah rendah/ menengah dikendalikan selama 3 tahun dalam 6 semester. Guru mengajar murid kemahiran asas iaitu menulis, membaca, mengira dan menaakul. Martabat profesion perguruan laluan ke guru cemerlang. Minat faktor penting profesion perguruan cukup diberi perhatian oleh kerajaan melalui kementerian pendidikan. Silat (disebut juga pencak atau pencak silat) adalah suatu jenis seni bela diri indonesia. Profesion perguruan hari ini menghadapi isu pelaksanaan program tak terancang secara berleluasa sehinggakan profesion ini sudah menjadi tidak menarik lagi kepada para guru. Your guide to studying kursus perguruan lepasan ijazah in malaysia. Kursus ggga1123 ( profesion perguruan ).

Related : Tata Susila Profesion Perguruan Malaysia / Naib presiden umno, datuk dr ahmad zahid hamidi yakin perhimpunan agung umno kali ini akan memberi kelainan berbanding tahun sebelum ini..